服務熱線:15195518515在線客服:1464856260
傳真號碼:0517-86801009
郵箱號碼:1464856260@qq.com
網 址:http://m.bjjtws.cn
地 址:江蘇省金湖縣理士大道61號
關于溫度對側裝磁翻板液位計液位測量的影響
發布時間:2021-01-22 15:15:24??點擊次數:3247次
摘要:電站的加熱器系統常使用側裝磁翻板液位計。由于保溫措施的限制,側裝磁翻板液位計測量側的水溫會低于加熱器的實際水溫,從而導致測量側水位低于加熱器的實際水位,影響測量的準確性。對電站常用磁浮球的測量偏差進行了研究。其結果表明,在大多數情況下,側裝磁翻板液位計的測量值要低于加熱器的實際值。分析結果對于工業場合側裝磁翻板液位計的*次安裝使用、新磁浮球的引入具有一定的指導意義。
側裝磁翻板液位計廣泛應用于電站的液位測量,它是一種浮球式金屬管現場指示液位計,其關鍵部件是磁浮球、測量筒和磁翻板柱顯示部件。該液位計的結構是在被測容器上接測量筒,筒內磁浮球中鑲嵌磁性體,筒外設置一排輕而薄的翻板。當被測容器中的液位升降時,測量管內磁性體隨浮球上下移動,外部的磁翻板柱指示部件感應到磁體的移動,從而指示出液位的變化。
在實際應用中,尤其是在加熱器液位測量過程中,由于測量筒中介質溫度低于加熱器中介質溫度,因此會導致側裝磁翻板液位計測量筒側液位測量值與加熱器的真實液位不一致。本文對不同溫差下UHZ系列側裝磁翻板液位計的測量偏差進行了詳細分析,對于工業現場側裝磁翻板液位計的使用具有一定的指導意義。
1、溫度對液位測量的影響
假設一個加熱器的液位測量裝置如圖1所示,由于側裝磁翻板液位計中的水溫低于加熱器中的水溫,水溫下降會導致水的密度上升,水的密度上升會產生兩個相反的作用:
①測量通道中水位下降,測量筒中的水位低于加熱器中的水位,造成測量值偏低;
②測量筒中的浮球有更多部分浮在水面上,造成測量值偏高。本文對不同溫差下的測量偏差進行了詳細分析,并給出了電站常用的兩類磁浮球的測量偏差。

2、測量筒側的液位偏差
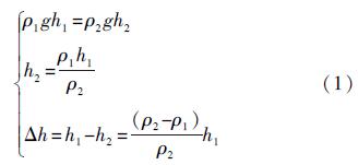
在實際過程中,加熱器中不同位置的水溫是不一致的,它和加熱器的形狀、體積等條件有關,同理在測量通道中不同位置的水溫也是不一致的。這會對理論計算造成較大的困難,在此對容器中水的溫度分布做了簡化。如圖1所示,在閥門V的左端為加熱器的水溫,假設水溫一致,且都為T1,在閥門V的右端為測量通道的水溫,設水溫一致,且都為T2。在加熱器額定工作壓力P的情形下,T1溫度和T2溫度下對應的水的密度分別為ρ1和ρ2。在閥門V處,左端的壓力等于右端的壓力,由此可得:

式中:h1為加熱器內水位;h2為測量通道中的水位;ρ1為加熱器中水的密度;ρ2為測量通道中水的密度;△h為實際水位與測量通道水位之差。
由式(1) 可知,當加熱器內水位一定時,溫差越大,測量誤差越大;同理在溫差一定時,加熱器內的水位越高,測量誤差越大。
假設加熱器正常工作時水位h1為0.77m,工作溫度為200℃,工作壓力為18.6bar。由公式可計算得到不同溫差下加熱器實際水位與測量通道水位之差△h,如圖2所示。

由圖2可得,當測量通道中水溫在100℃時,測量通道中的水位會低于實際水位,約8.4cm,從而可以看出△h與測量通道中水的溫度以及加熱器內水位高度密切相關。磁浮球一旦按照額定工況制作好后,其*大補償值便成定值,該補償作用有限,無法完全補償因溫度差異導致的測量筒中水位與加熱器實際水位的偏差。
3、兩類浮球的測量偏差
3.1 A類浮球的測量偏差
A類浮球為不銹鋼3P型浮球,浮球質量為930g。對于這類球的計算需分為兩步進行,假設非線性部分始終浸在水下,則可以先近似計算出非線性部分的體積,之后可以進一步計算總的體積。計算過程如下。
①非線性部分
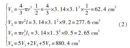
浮球非線性部分的體積等于5個半球加上2個直筒再加上5個連接環的體積,計算過程如下所示。

式中:V1、V3為半球的體積;V2為直筒的體積;V4為非線性部分的總體積。
②線性部分
由公式可得該類浮球非線性部分的體積為880.4cm³,由于非線性部分始終浸在水下,因此非線性部分提供的浮力為F1,如下所示:
F1=ρgV4 (3)
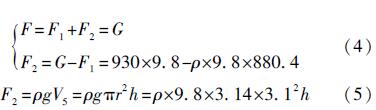
式中:ρ為水的密度。由于浮球在水中的浮力等于它自身的重力,因此可計算得到浮球線性部分浸沒水中的高度,如式(4)所示。

式中:F為浮球的浮力;G為浮球的重力;V5為線性部分浸入水中的體積;h為線性部分浸入水中的高度。
由式(4)和式(5)可得:

浮球中線性部分直筒的長度為9.2cm,磁性材料(即對磁翻板起作用的位置)在離直筒上端約1.5cm處,由此可得浮球的補償值h"如下所示。

不同壓力和溫度下水的密度如表1所示。將表1中不同溫度下水的密度代入式(6)和式(7),可得A類浮球的修正值,如圖3(a)所示。結合本文圖2所示加熱器實際水位與測量側水位之差和圖3(a),可得側裝磁翻板液位計中采用A類浮球測量液位時的水位指示值與加熱器真實水位的偏差,如圖3(b)所示。A類浮球在不同溫差下的指示值與加熱器真實水位的偏差如表2所示,其中加熱器的工作溫度為200℃,加熱器的工作壓力為18.6bar。



3.2 B類浮球的測量偏差
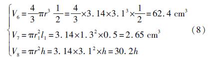
B類浮球為3節鈦合金圓筒型浮球,浮球質量為480g,浮球的總長度為25.5cm,磁性材料(即對磁翻板起作用的位置)在離直筒上端約2.8cm處。B類浮球的排水體積等于1個半球加上1個連接環再加上浸在水中直筒的體積,分別用V6、V7、V8表示,計算過程如下所示。

式中:h為直筒底部距離浮球浸在水中時水面的高度。由于浮球在水中的浮力等于它自身的重力,由此可得:

式中:F為浮球在水中的浮力;G為浮球的質量;ρ為水的密度。
由式(9)和式(10)可以得到h與ρ的關系,如下所示。

由式(11)可得浮球的補償值h"如下所示。

將表1中不同溫度下水的密度代入式(11)和式(12)可得B類浮球的修正值,如圖4(a)所示。結合本文圖2和圖4可得UHZ側裝磁翻板液位計中采用B類浮球測量液位時的水位指示值與加熱器真實水位的偏差,如圖4(b)所示。B類浮球在不同溫差下的指示值與加熱器真實水位的偏差如表3所示,其中加熱器的工作溫度為200℃,加熱器的工作壓力為18.6bar。


4、結束語
側裝磁翻板液位計中測量筒的介質溫度常低于加熱器中的介質溫度,隨著兩者溫差的增加,液位指示值與加熱器真實水位的偏差將會變大,且液位指示值在大多數情況下都小于液位真實值。現場*次安裝使用側裝磁翻板液位計時,可采用本文給出的計算方法,根據磁浮球的尺寸、質量、設備介質溫度等信息計算出側裝磁翻板液位計的測量值與設備實際液位的偏差,依據計算結果調整顯示面板標尺,使觀測到的測量值更加接近設備液位的真實值。



|